山東羅欣藥業集團股份有限公司招標公告

【規 格】(1)15mg (2)30mg
【包 裝】西林瓶;1支/盒、4支/盒、10支/盒、20支/盒。
【單 位】支
【批準文號】(1)15mg 國藥準字H20163246 (2)30mg 國藥準字H20163247
【藥品名稱】
通用名稱:注射用鹽酸氨溴索
英文名稱:Ambroxol Hydrochloride for Injection
漢語拼音:Zhusheyong Yansuananxiusuo
【成 份】本品主要成份為鹽酸氨溴索。
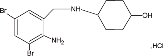
化學名稱:反式-4-[(2-氨基-3,5-二溴芐基)氨基]環己醇鹽酸鹽。
化學結構式:
分子式:C13H18Br2N2O·HCl
分子量:414.57
本品輔料為:甘露醇和注射用水。
【性 狀】本品為白色疏松塊狀物或粉末。
【規 格】(1)15mg (2)30mg
【不良反應】
本品通常能很好耐受。曾有輕度的胃腸道不良反應報道,主要為胃部灼熱、消化不良和偶爾出現惡心、嘔吐。過敏反應極少出現,主要為皮疹。極少病例出現嚴重的急性過敏性反應,但其與鹽酸氨溴索的相關性尚不能肯定,這類病人通常對其他物質亦產生過敏。快速靜注可引起頭痛、腿痛和疲憊感。
不良反應的發生率定義如下:
免疫系統疾病/皮膚和粘膜組織疾病
不常見:紅斑。
未知:變態反應(包括過敏性休克)、血管神經性水腫、皮疹、蕁麻疹、瘙癢及其他超敏反應;有嚴重急性過敏反應的報道,與本藥的關系尚不確定,此類患者通常對其他物質亦出現過敏。
胃腸疾病
不常見:口干、便秘、流涎、咽干。
未知:胃部灼熱、惡心、嘔吐、腹瀉、消化不良、腹部疼痛。
呼吸系統、胸廓和縱膈疾病
不常見:流涕、呼吸困難(超敏反應癥狀之一)。
腎臟和泌尿系統疾病
不常見:排尿困難。
全身性疾病以及給藥局部異常
不常見:體溫升高、畏寒,以及粘膜反應。
【禁 忌】
已知對鹽酸氨溴索或其它配方成份過敏者禁用。
【注意事項】
本品用無菌注射用水溶解后pH5.0,不能與pH大于6.3的其它溶液混合。因為pH增加會導致產生氨溴索游離堿沉淀。
警告
該品種在上市后安全性監測中有嚴重過敏性休克的報告,故對特殊人群、有過敏史和高敏狀態(如支氣管哮喘等氣道高反應)的患者應慎用本品。用藥后如出現過敏反應須立即停藥,并根據反應的嚴重程度給予對癥治療。一旦出現過敏性休克應立即給予急救。
慎用
以下情況慎用本品:①肝、腎功能不全者;②胃潰瘍患者;③支氣管纖毛運動功能受阻及呼吸道出現大量分泌物的患者(惡性纖毛綜合征患者等,可能有出現分泌物阻塞氣道的危險);④青光眼患者。
一般注意事項
(1)禁止本品與其他藥物在同一容器內混合,注意配伍用藥,應特別注意避免與頭孢類抗生素、中藥注射劑等配伍應用。
(2)禁止本品(pH5.0)與pH大于6.3的其他偏堿性溶液混合,因為pH值增加會導致產生本品游離堿沉淀。
(3)若靜脈用藥時注射速度過快,極少數患者可能會出現頭痛、疲勞、精疲力竭、下肢沉重等感覺。
(4)在極少數病例中,出現了嚴重的皮膚反應,比如Stevens-Johnson綜合征和Lyell's綜合征(中毒性表皮壞死松懈癥;TEN),這些癥狀的出現都與患者使用時的狀態相關。上述病例中的大部分都是由潛在疾病或者伴隨用藥引起的。如果患者在用藥后新出現皮膚或者粘膜損傷,應及時報告醫生,并停用本品。
【孕婦及哺乳期婦女用藥】 臨床前試驗及用于妊娠28周后的大量臨床試驗顯示,對妊娠無不良影響。但妊娠期間應慎用藥物,特別是妊娠前三個月應注意觀察,藥物可進入乳汁,但治療劑量對嬰兒應無影響。
【兒童用藥】見【用法用量】
【老年用藥】無特殊注意事項,請按成人用法用量。
【藥物相互作用】本品與抗生素協同治療(阿莫西林、頭孢呋辛、紅霉素、強力霉素)可導致抗生素在肺組織濃度升高,與其它藥物合用所致臨床相關不良影響未見報道。
【藥物過量】迄今無有關過量癥狀的報道,如發生,則應對癥處理。
【藥理毒理】
本品為粘液溶解劑,能增加呼吸道粘膜漿液腺的分泌,減少粘液腺分泌,從而降低痰液粘度;還可促進肺表面活性物質的分泌,增加支氣管纖毛運動,使痰液易于咳出。
【藥代動力學】
本品從血液至組織的分布快且顯著,肺臟為主要靶器管。血漿半衰期為7-12小時,無累積效應。鹽酸氨溴索主要在肝臟代謝,大約90%經腎臟排除。
【貯 藏】密封,在陰涼處(不超過20℃)保存。
【包 裝】西林瓶;1支/盒、4支/盒、10支/盒、20支/盒。
【有 效 期】24個月。
【執行標準】YBH19092005-2016Z
【批準文號】(1)15mg 國藥準字H20163246 (2)30mg 國藥準字H20163247
【生產企業】
企業名稱:山東裕欣藥業有限公司
生產地址:臨沂市羅莊區羅七路中段西側
郵政編碼:276017
電話號碼:0539-8257899 8481991
傳真號碼:0539-8481990
售后服務:0539-8242699
網 址:www.tianyumoshu66.com
適用于伴有痰液分泌不正常及排痰功能不良的急性、慢性呼吸道疾病,例如慢性支氣管炎急性加重、喘息型支氣管炎、支氣管擴張及支氣管哮喘的祛痰治療。
術后肺部并發癥的預防性治療。
早產兒及新生兒嬰兒呼吸窘迫綜合癥(IRDS)的治療。
本品用前用5ml無菌注射用水溶解,緩慢靜脈注射。亦可用適量無菌注射用水稀釋后與葡萄糖、果糖、0.9%氯化鈉注射液或林格氏液混合靜脈點滴使用。
預防治療:
成人及12歲以上兒童:每天2~3次,每次15mg,嚴重病例可以增至每次30mg;
6~12歲兒童:每天2~3次,每次15mg
2~6歲兒童:每天3次,每次7.5mg
2歲以下兒童:每天2次,每次7.5mg
嬰兒呼吸窘迫綜合癥(IRDS)的治療:
每日用藥總量以嬰兒體重計算30mg/kg,分4次給藥,應使用注射泵給藥。靜脈注射時間至少5分鐘。